News
Volunteer
Your Party
Our Democrats
Chairman Lamont Bagby
State Steering Committee
Party Organizations and Networks
Jobs
Internships
Localities
Meet the DPVA Staff
Senate Democrats
House Democrats
Events
I Will Vote
2025 Elections
Statewide Ticket
Delegates Nominees
Store
Store
Vote
Donate Now
News
Volunteer
Your Party
Our Democrats
Chairman Lamont Bagby
State Steering Committee
Party Organizations and Networks
Jobs
Internships
Localities
Meet the DPVA Staff
Senate Democrats
House Democrats
Events
I Will Vote
2025 Elections
Statewide Ticket
Delegates Nominees
Store
August 9, 2018
News & Press Releases
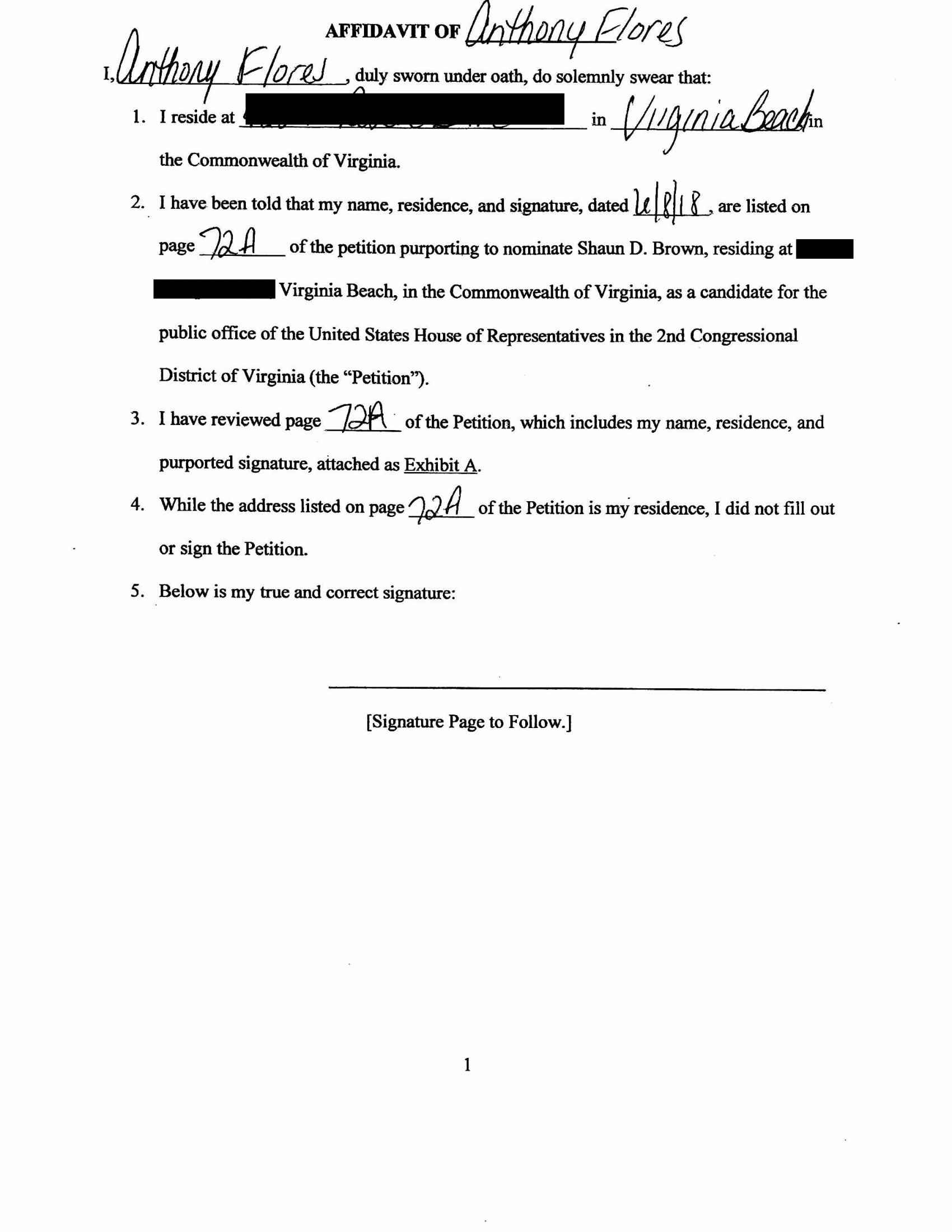
LETTER TO STATE BOARD OF ELECTIONS WITH AFFIDAVITS FROM VOTERS ATTACHED
by Marc Elias
Share
Share
New York Times: In Virginia, Women Form an Insurgency to Try to Topple Republican Dave Brat
Next Post
Keep Virginia Blue
Join the Party
Join Us
Store
Vote
Donate Now